抛了35万次硬币后:概率论不存在了?
2026-01-22 22:25:49 · chineseheadlinenews.com · 来源: 环球科学
我们常会反复纠结某个问题而难以迅速作出决定,比如,今晚吃炸酱面还是麦当劳;又比如,要不要接受某个工作机会;或者是今晚要不要去跟TA表白……
图片来源:Giphy

图片来源:Giphy
这时,很多人会抛个硬币,用硬币的正反面替自己做出选择。
甚至在一些重大场合,人们也常用抛硬币来做重要决定,比如世界杯球赛中,裁判员会通过抛硬币决定哪只队伍先开球。
图片来源:GIPHY
初中数学课本告诉我们,抛一枚质地均匀的硬币,得到正反面的概率相等。因此,人们认为硬币替自己做出的选择一定是公正的,没有私心的。
不少数学家也做过实验证明,当抛硬币次数足够多时,得到正反面的频次接近1:1,包括曾抛了2万多次硬币的数理统计学创始者卡尔·皮尔逊(Karl Pearson)。
但如果我现在告诉你,抛硬币得到两面向上的概率其实不相等,你又怎么看?
抛了350 757次,总耗时约20个小时。然后他们发现,抛出的硬币落下后,向上的那一面和硬币抛出前的初始面相同的概率略高,约为51%。
他们就这样抛了20个小时的硬币(来源:Coin Tossing Team via YouTube)
也就是说,假如你将硬币抛离手中时,它是正面向上,那最终硬币落下时,其正面向上的概率更高,反之亦然。
他们还发现,一些人抛硬币得到和起始面相同的那一面的概率更高;而另一些人则更接近理论值,即得到两面的概率都是50%。他们将这项研究发表了在预印本网站arXiv上,还未经同行评审。
很显然,这说明,特定的抛硬币方式,或许可以让特定面向上的概率更高。
那么,有没有可能通过练习,让抛出去的硬币落下时,永远是自己想要的那一面向上呢?
理论上是可以的。
数学家佩尔西?戴康尼斯(Persi Diaconis)在成为美国斯坦福大学的数学和统计学教授之前,曾做过魔术师。他经常研究与“赌博”相关的数学,比如如何洗牌、如何掷骰子,当然也包括如何抛硬币。

热衷于纸牌、骰子、轮盘等的斯坦福数学家佩尔西?戴康尼斯(图片来源:Stanford University)
早在2007年,戴康尼斯和他的团队就在论文中展示了一个抛硬币装置,这个装置将硬币抛出后落到指定位置,最终硬币向上的那一面在100%的情况下都与它的起始面相同。

戴康尼斯和同事做出的抛硬币装置,抛出的硬币能100%得到与起始面相同的那一面(Diaconis et al, 2007)
而人类在用手抛硬币时,也可以达到这样的效果,比如一些魔术师就可以通过一些技巧控制抛硬币的结果。
魔术师能控制抛硬币的结果(来源:SCAM NATION via youtube)
其实如果掌握了原理,多加练习,你也可以做到。所以我们就先来学习一下原理,然后大家回家自己练习。
首先我们需要知道,标准情况下,抛向空中的硬币是怎样运动的。
忽略空气阻力的影响,当我们将硬币抛向空中,硬币会沿着一个位于硬币平面且平行于地面的“轴”,做翻转运动。学过物理的朋友们可以很快反应过来,这个“轴”正好是硬币旋转的角动量(angular momentum)所在的直线。
来源:Numberphile via YouTube

来源:Numberphile via YouTube,制图:冬鸢
然后我们用一点简单的中学物理来分析一下硬币的运动。
然后我们用一点简单的中学物理来分析一下硬币的运动。
假设硬币以初速度vz从距地面高度z0的手中被抛出,t秒后落回到手上,那么通过z0 + tvz ? (g/2)(t)2 = z0可以计算出t = vz/(g/2)。
假设硬币在空中每秒翻转ω次。在抛出硬币到硬币回到手上的过程中,如果硬币翻转了偶数次(即2j

图片来源:Diaconis et al, 2007
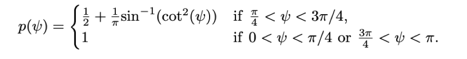
最终可以算出,如果硬币的起始面为正面,那么硬币落回手上时正面向上的概率与ψ的关系是:

用图像表示就是

图片来源:Diaconis et al, 2007
由此可以直观地看到,在硬币初始面为正面时,只有当ψ为直角,硬币落下时正面朝上的概率才是1/2,其余情况下都大于1/2。
而当ψ小于45°时,硬币虽然也在旋转,但实际上整个过程中,并没有翻转到另一面。因此,在这种情况下,不论硬币抛得有多高,最终落下来时依然是和抛出时保持相同的一面向上——这便是抛硬币魔术师所使用的手法。
魔术师抛出的硬币在空中没有翻转至另一面(来源:SCAM NATION via YouTube)
而当ψ为0°时,硬币甚至可以没有竖直方向的翻转,完全直上直下。
来源:Numberphile via YouTube
事实上,这种运动方式在我们生活中非常常见,比较典型的,就是我们的地球。地球在自转的同时,赤道平面的法线也在绕一个轴转动:
看这地球的旋转像不像正在翻转的硬币?(来源:Steven Sanders via youtube)
总结一下就是,因为很多人抛出的硬币在空中翻转时存在进动,导致在给定硬币初始面的情况下,会使得最终硬币落回手上时,正反面向上的概率不相等。
不过,由于大多数人抛硬币的时候,不会关注硬币的起始面。因此,在起始面随机的前提下,抛硬币的最终结果,正反面概率仍然是1:1(预印本论文中有证明过程)。
所以,以后如果和别人抛硬币打赌,你可以练一练上面教的抛硬币技巧来“作弊”;如果是别人抛硬币,那就让他不要用手接,让硬币直接掉地上,因为这会使硬币再弹起来,到空中再翻转几圈,使结果更加随机。
硬币掉在地上之后再弹起来(来源:Numberphile via YouTube)