靠运动制造热量缺口来减肥,难
2026-03-03 20:25:21 · chineseheadlinenews.com · 来源: 梅斯医学MedSci
减肥靠“管住嘴、迈开腿”,这话你一定听过。它听起来无比正确----多动才能多消耗,少吃才能少摄入,简直像理财中的“开源节流”,简单又直观。
可一旦真的开始行动,事情就变得没那么简单:拼命运动几周,体重却稳如泰山;偶尔多吃几口,数字立刻反弹。都叫人忍不住怀疑:为什么有人天天健身却瘦得缓慢,有人看似吃得随意却身材依旧?
其实这背后作祟的,便是我们身体里的“能量管理系统”!最近,Current Biology和PNAS上的两项研究,正好揭开了它的运行逻辑:我们的身体并不只是个“热量计算器”----它很“聪明”,甚至有点“狡猾”,会在你增加运动时悄悄节能,也会因你饮食结构的变化而调整消耗模式。
下面就让我们跟随科学家的脚步,一起揭开身体能量管理的奥秘,看看为什么有时候“迈开腿”不如“管住嘴”。
为什么增加运动,代谢消耗却不怎么涨?
长期以来,在营养学和运动科学领域,主流观点认为人体的总能量消耗是“累加式”的,即你今天多跑5公里,就会在基础代谢之外,额外多消耗相应的热量。这就是所谓的累加模型。
然而这个模型,在实际研究和生活中却经常“失灵”----也就是我们上文所说的,不少人增加运动后,体重并没有按预期下降,甚至有些长期从事体力劳动的人群,其总能量消耗并不比久坐的办公室职员高多少。
为此,以杜克大学Herman Pontzer教授为首的科学家们提出了一个颠覆性的假说:受限总能量消耗模型。
他们认为,身体总能量支出有一个相对稳定的“预算”。当你增加运动支出时,身体会自动在其他方面(如基础代谢、免疫活动、生殖激素水平等)减少开支,以维持总支出不超标。
研究者们从已发表的众多研究中,筛选出符合条件的数据:
1. 人类运动干预研究:最终纳入14项研究,涉及21个队列、450名参与者。这些研究都对参与者进行了有氧或抗阻运动干预,并精准测量了干预前后总能量消耗(TEE)、基础代谢率(BMR)等关键指标。
2. 动物实验研究:回顾了多项通过改变动物获取食物难度(本质上是结合了运动增加和饮食限制)来操控其活动量的研究。
3. 生态学研究:对比分析了不同生活方式的人群(如狩猎采集者、传统农民、现代久坐人群)的能量消耗数据。
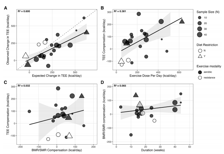
此外,研究人员还建立了一个量化分析框架。对于每项人类研究,他们首先根据累加模型,计算出 “预期的总能量消耗变化”(基于运动消耗的热量、身体成分变化估算的基础代谢变化等)。
然后,将其与实验中实际观测到的变化进行对比,其差值即为“能量补偿”。如果补偿值为正且显著,就支持受限模型。

累加模型与受限模型的对比示意图
首先,实验结果显示:我们身体有明显的能量补偿现象。以有氧运动干预为例,实际观测到的每日总能量消耗(TEE)增长,平均仅为累加模型理论预期值的46%左右(无饮食限制时)。
这意味着,当你通过运动努力多消耗了100大卡热量时,身体可能会通过其他途径的“节能”措施,将你全天的总热量支出增幅“打折”到仅约46大卡。
而在动物实验中,这种补偿效应更加彻底,常常接近100%,几乎相当于“白忙一场”。
更值得注意的是,当运动干预与饮食限制(制造热量缺口) 同时进行时,身体的这种“节能”反应会变得更加明显。数据显示,在结合饮食限制的有氧运动队列中,能量补偿的程度高达预期值的181%。
也就是说,当身体同时面对“多动”和“少吃”的双重压力、感知到能量供应紧张时,它会启动更强烈的“生存保护模式”,通过进一步压低其他方面的能耗来维持平衡。这也从一个侧面解释了,为何在减肥平台期,体重会如此顽固。
那么,身体究竟是如何实现这种“补偿”的呢?
一个关键机制是调低基础代谢率(BMR)。研究发现,在有氧运动干预中,特别是当干预持续超过15周后,可以观察到显著的基础代谢补偿。在少数同时测量了基础代谢与睡眠代谢率的研究中,睡眠中的能量消耗下降甚至比清醒时更为明显。
这表明,身体不仅在清醒休息时“偷懒”,在我们沉睡时,它也会默默调低“待机能耗”。
有趣的是,这种补偿模式在抗阻训练中可能有所不同。本研究中少量的抗阻训练数据反而显示出“负补偿”,即实际能量消耗高于预期。研究者指出,这可能与测量抗阻运动能耗的技术难度有关,其确切关系仍需未来更多研究来澄清。


人类运动干预研究中的能量补偿关系图
这一理论在现实世界中也能找到有力印证。对狩猎采集者(如哈扎人)和传统农耕人群的研究显示,尽管他们每日的体力活动量远超市坐的现代办公族,但在校正体重和体成分差异后,他们的总能量消耗却并未显著更高。
这也正是“受限模型”的生动体现----日常更高的活动支出,恰好被身体通过降低基础性消耗等方式动态平衡掉了。
总之,这项研究从根本上动摇了“运动=额外热量燃烧”的简单认知。它告诉我们,身体不止是一个热量计算器,而是一个动态平衡系统。
当你增加运动消耗时,身体并不会“乖乖”地让它全部转化为每日总消耗。反之,它可能通过降低基础代谢、调节生殖激素(如睾酮、雌激素)、甚至减弱部分免疫活性等方式,悄悄地把这部分“多出来”的能耗给“找补”回来。
肥胖危机的真凶
理解了身体会“能量补偿”,我们自然要问下一个问题:既然增加运动消耗如此“低效”,那么近几十年来全球肥胖率的爆炸式增长,罪魁祸首到底是什么?是大家动得太少了,还是吃得太多了?
发表于PNAS的这项大型研究,给出了一个更倾向于后者的答案。

研究团队收集了全球六大洲、34个不同生活方式人群的能量消耗与体成分数据,覆盖从传统狩猎采集社会到高度工业化国家的4213名成年人。
他们采用“双标水法”这一能量消耗测量的金标准,精确量化每人每日的总能量消耗,并结合基础代谢与体成分指标展开系统比较。


能量消耗、脂肪量与BMI之间的关系
研究得出了几个关键结论:
首先,正如预期,随着经济发展水平提高,人群的平均体重、BMI 和体脂百分比显著上升。然而深入分析能量消耗模式时,出现了反直觉的发现:工业化国家人群的总能量消耗虽然更高,但这主要源于他们平均体重更大,而非体力活动更活跃。
当研究人员通过统计方法校正体重和体成分的影响后----不同经济水平人群之间的活动能量消耗并无显著差异,甚至工业化人群的调整后总能量消耗还略低一些。
换言之,一个体重相似的“现代人”和“传统人”(仍然保持着非工业化、非现代化传统生活方式的人群),每日总能量消耗其实相差不大,“动得少”并非导致肥胖差异的主要原因。
相反,数据将矛头指向饮食结构与能量摄入。研究中进一步发现,超加工食品的摄入比例与体脂含量呈显著正相关,提示在经济发展过程中,饮食模式向高热量、低营养密度食物转变,更可能是推动肥胖流行的关键媒介。

小结
综上,这两篇研究从不同角度揭示了:想仅靠运动创造热量缺口来减肥,在生理上可能是很难的,我们的身体会通过精密的补偿机制来维持总体平衡;而现代肥胖问题的根源,更可能在于饮食环境的改变,而非运动不足。
如此看来,在体重管理这件事上,“吃”似乎比“动”重要了很多。但这绝不意味着运动没有价值。恰恰相反,长期规律运动对增强心肺功能、改善心理健康、维持肌肉与骨骼强度等方面的益处,是无可厚非的。
读到这儿,大家是不是觉得我们身体这种“吝啬”的机制很讨厌?但事实上,这恰恰是人类进化留下的智慧----在食物不稳定的漫长历史里,这套机制能帮助我们的祖先储存能量、渡过饥荒。只是谁都没想到,在现代社会,我们面临的已不再是“吃不饱”,而是“吃得太好”的新挑战了~